Click here to close Hello! We notice that you are using Internet Explorer, which is not supported by Xenbase and may cause the site to display incorrectly. We suggest using a current version of Chrome, FireFox, or Safari.

Profile Publications (5)
XB-PERS-4129

Publications By Kristen Curran

???pagination.result.count???

???pagination.result.page??? 1


Time of day dependent changes in embryonic heart rate are detectable after maturation of rhythmic circadian gene expression in the eye, but before the heart in Xenopus laevis tadpoles cultured in LD., Curran K, Kemper F, Hadley M., MicroPubl Biol. September 3, 2024; 2024   


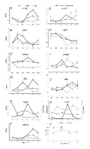
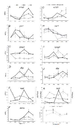
Circadian genes, xBmal1 and xNocturnin, modulate the timing and differentiation of somites in Xenopus laevis., Curran KL, Allen L, Porter BB, Dodge J, Lope C, Willadsen G, Fisher R, Johnson N, Campbell E, VonBergen B, Winfrey D, Hadley M, Kerndt T., PLoS One. January 1, 2014; 9 (9): e108266.   


Circadian genes are expressed during early development in Xenopus laevis., Curran KL, LaRue S, Bronson B, Solis J, Trow A, Sarver N, Zhu H., PLoS One. July 23, 2008; 3 (7): e2749.   


Xenopus tropicalis transgenic lines and their use in the study of embryonic induction., Hirsch N, Zimmerman LB, Gray J, Chae J, Curran KL, Fisher M, Ogino H, Grainger RM., Dev Dyn. December 1, 2002; 225 (4): 522-35.   


Expression of activated MAP kinase in Xenopus laevis embryos: evaluating the roles of FGF and other signaling pathways in early induction and patterning., Curran KL, Grainger RM., Dev Biol. December 1, 2000; 228 (1): 41-56.   

???pagination.result.page??? 1