Click here to close Hello! We notice that you are using Internet Explorer, which is not supported by Xenbase and may cause the site to display incorrectly. We suggest using a current version of Chrome, FireFox, or Safari.

Profile Publications (7)
XB-PERS-3746

Publications By Susumu Imaoka

???pagination.result.count???

???pagination.result.page??? 1


Isolation and characterization of Xenopus soluble epoxide hydrolase., Purba ER, Oguro A, Imaoka S., Biochim Biophys Acta. July 1, 2014; 1841 (7): 954-62.   


Role of the hypoxia response pathway in lens formation during embryonic development of Xenopus laevis., Baba K, Muraguchi T, Imaoka S., FEBS Open Bio. October 23, 2013; 3 490-5.   


Antagonistic role of XESR1 and XESR5 in mesoderm formation in Xenopus laevis., Kinoshita T, Haruta Y, Sakamoto C, Imaoka S., Int J Dev Biol. January 1, 2011; 55 (1): 25-31.   


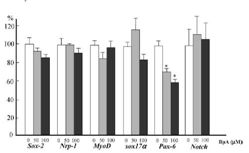
Bisphenol A disrupts Notch signaling by inhibiting gamma-secretase activity and causes eye dysplasia of Xenopus laevis., Baba K, Okada K, Kinoshita T, Imaoka S., Toxicol Sci. April 1, 2009; 108 (2): 344-55.


Isolation of Xenopus HIF-prolyl 4-hydroxylase and rescue of a small-eye phenotype caused by Siah2 over-expression., Imaoka S, Muraguchi T, Kinoshita T., Biochem Biophys Res Commun. April 6, 2007; 355 (2): 419-25.


Bisphenol A causes malformation of the head region in embryos of Xenopus laevis and decreases the expression of the ESR-1 gene mediated by Notch signaling., Imaoka S, Mori T, Kinoshita T., Biol Pharm Bull. February 1, 2007; 30 (2): 371-4.   


Purification of NADPH-P450 reductase (NPR) from Xenopus laevis and the developmental change in NPR expression., Mori T, Yamazaki A, Kinoshita T, Imaoka S., Life Sci. June 13, 2006; 79 (3): 247-51.

???pagination.result.page??? 1