|
XB-PERS-1963
Publications By Guiscard Seebohm
???pagination.result.count??????pagination.result.page??? 1 2 ???pagination.result.next???
|
Validation of TREK1 ion channel activators as an immunomodulatory and neuroprotective strategy in neuroinflammation., Schroeter CB, Nelke C, Schewe M, Spohler L, Herrmann AM, Müntefering T, Huntemann N, Kuzikov M, Gribbon P, Albrecht S, Bock S, Hundehege P, Neelsen LC, Baukrowitz T, Seebohm G, Wünsch B, Bittner S, Ruck T, Budde T, Meuth SG., Biol Chem. March 28, 2023; 404 (4): 355-375. |
|
Potassium viroporins as model systems for understanding eukaryotic ion channel behaviour., Asrani P, Seebohm G, Stoll R., Virus Res. October 15, 2022; 320 198903. |
|
Virus-Host Interactions of Enteroviruses and Parvovirus B19 in Myocarditis., Ho HT, Peischard S, Strutz-Seebohm N, Seebohm G., Cell Physiol Biochem. November 18, 2021; 55 (6): 679-703. |
|
[2.2]Paracyclophane-Based TCN-201 Analogs as GluN2A-Selective NMDA Receptor Antagonists., Rajan R, Schepmann D, Steigerwald R, Schreiber JA, El-Awaad E, Jose J, Seebohm G, Wünsch B., ChemMedChem. October 15, 2021; 16 (20): 3201-3209. |
|
Can Unlikely Neanderthal Chloride Channel CLC-2 Gene Variants Provide Insights in Modern Human Infertility?, Jeworutzki E, Tüttelmann F, Rothenberg I, Pusch M, Schreiber JA, Kliesch S, Wünsch B, Strutz-Seebohm N, Seebohm G., Cell Physiol Biochem. June 19, 2021; 55 (3): 301-310. |
|
Deconstruction - Reconstruction: Analysis of the Crucial Structural Elements of GluN2B-Selective, Negative Allosteric NMDA Receptor Modulators with 3-Benzazepine Scaffold., Ritter N, Korff M, Markus A, Schepmann D, Seebohm G, Schreiber JA, Wünsch B., Cell Physiol Biochem. March 3, 2021; 55 (S3): 1-13. |
|
Synthesis of GluN2A-selective NMDA receptor antagonists with an electron-rich aromatic B-ring., Rajan R, Schepmann D, Schreiber JA, Seebohm G, Wünsch B., Eur J Med Chem. January 1, 2021; 209 112939. |
|
Rottlerin: Structure Modifications and KCNQ1/KCNE1 Ion Channel Activity., Lübke M, Schreiber JA, Le Quoc T, Körber F, Müller J, Sivanathan S, Matschke V, Schubert J, Strutz-Seebohm N, Seebohm G, Scherkenbeck J., ChemMedChem. June 17, 2020; 15 (12): 1078-1088. |
|
4,4'-Diisothiocyanato-2,2'-Stilbenedisulfonic Acid (DIDS) Modulates the Activity of KCNQ1/KCNE1 Channels by an Interaction with the Central Pore Region., Bollmann E, Schreiber JA, Ritter N, Peischard S, Ho HT, Wünsch B, Strünker T, Meuth S, Budde T, Strutz-Seebohm N, Seebohm G., Cell Physiol Biochem. April 8, 2020; 54 (2): 321-332. |
|
Negative allosteric modulators of the GluN2B NMDA receptor with phenylethylamine structure embedded in ring-expanded and ring-contracted scaffolds., Temme L, Bechthold E, Schreiber JA, Gawaskar S, Schepmann D, Robaa D, Sippl W, Seebohm G, Wünsch B., Eur J Med Chem. March 15, 2020; 190 112138. |
|
Familial Sinus Node Disease Caused by a Gain of GIRK (G-Protein Activated Inwardly Rectifying K+ Channel) Channel Function., Kuß J, Stallmeyer B, Goldstein M, Rinné S, Pees C, Zumhagen S, Seebohm G, Decher N, Pott L, Kienitz MC, Schulze-Bahr E., Circ Genom Precis Med. January 1, 2019; 12 (1): e002238. |
|
Systematic variation of the benzoylhydrazine moiety of the GluN2A selective NMDA receptor antagonist TCN-201., Schreiber JA, Müller SL, Westphälinger SE, Schepmann D, Strutz-Seebohm N, Seebohm G, Wünsch B., Eur J Med Chem. October 5, 2018; 158 259-269. |
|
In Vitro Analyses of Novel HCN4 Gene Mutations., Möller M, Silbernagel N, Wrobel E, Stallmayer B, Amedonu E, Rinné S, Peischard S, Meuth SG, Wünsch B, Strutz-Seebohm N, Decher N, Schulze-Bahr E, Seebohm G., Cell Physiol Biochem. January 1, 2018; 49 (3): 1197-1207. |
|
A Mutation in the G-Protein Gene GNB2 Causes Familial Sinus Node and Atrioventricular Conduction Dysfunction., Stallmeyer B, Kuß J, Kotthoff S, Zumhagen S, Vowinkel K, Rinné S, Matschke LA, Friedrich C, Schulze-Bahr E, Rust S, Seebohm G, Decher N, Schulze-Bahr E., Circ Res. May 12, 2017; 120 (10): e33-e44. |
|
Systematic variation of the benzenesulfonamide part of the GluN2A selective NMDA receptor antagonist TCN-201., Müller SL, Schreiber JA, Schepmann D, Strutz-Seebohm N, Seebohm G, Wünsch B., Eur J Med Chem. March 31, 2017; 129 124-134. |
|
Stress-Kinase Regulation of TASK-1 and TASK-3., Rinné S, Kiper AK, Schmidt C, Ortiz-Bonnin B, Zwiener S, Seebohm G, Decher N., Cell Physiol Biochem. January 1, 2017; 44 (3): 1024-1037. |
|
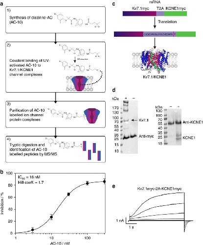
KCNE1 induces fenestration in the Kv7.1/KCNE1 channel complex that allows for highly specific pharmacological targeting., Wrobel E, Rothenberg I, Krisp C, Hundt F, Fraenzel B, Eckey K, Linders JT, Gallacher DJ, Towart R, Pott L, Pusch M, Yang T, Roden DM, Kurata HT, Schulze-Bahr E, Strutz-Seebohm N, Wolters D, Seebohm G., Nat Commun. October 12, 2016; 7 12795. |
|
Tau Tubulin Kinase TTBK2 Sensitivity of Glutamate Receptor GluK2., Nieding K, Matschke V, Meuth SG, Lang F, Seebohm G, Strutz-Seebohm N., Cell Physiol Biochem. January 1, 2016; 39 (4): 1444-52. |
|
The Natural Plant Product Rottlerin Activates Kv7.1/KCNE1 Channels., Matschke V, Piccini I, Schubert J, Wrobel E, Lang F, Matschke J, Amedonu E, Meuth SG, Strünker T, Strutz-Seebohm N, Greber B, Scherkenbeck J, Seebohm G., Cell Physiol Biochem. January 1, 2016; 40 (6): 1549-1558. |
|
Atomic basis for therapeutic activation of neuronal potassium channels., Kim RY, Yau MC, Galpin JD, Seebohm G, Ahern CA, Pless SA, Kurata HT., Nat Commun. September 3, 2015; 6 8116. |
|
Kv1.5 blockers preferentially inhibit TASK-1 channels: TASK-1 as a target against atrial fibrillation and obstructive sleep apnea?, Kiper AK, Rinné S, Rolfes C, Ramírez D, Seebohm G, Netter MF, González W, Decher N., Pflugers Arch. May 1, 2015; 467 (5): 1081-90. |
|
Structural basis of PI(4,5)P2-dependent regulation of GluA1 by phosphatidylinositol-5-phosphate 4-kinase, type II, alpha (PIP5K2A)., Seebohm G, Wrobel E, Pusch M, Dicks M, Terhag J, Matschke V, Rothenberg I, Ursu ON, Hertel F, Pott L, Lang F, Schulze-Bahr E, Hollmann M, Stoll R, Strutz-Seebohm N., Pflugers Arch. October 1, 2014; 466 (10): 1885-97. |
|
Novel Kv7.1-phosphatidylinositol 4,5-bisphosphate interaction sites uncovered by charge neutralization scanning., Eckey K, Wrobel E, Strutz-Seebohm N, Pott L, Schmitt N, Seebohm G., J Biol Chem. August 15, 2014; 289 (33): 22749-22758. |
|
Bioelectric signaling regulates size in zebrafish fins., Perathoner S, Daane JM, Henrion U, Seebohm G, Higdon CW, Johnson SL, Nüsslein-Volhard C, Harris MP., PLoS Genet. January 1, 2014; 10 (1): e1004080. |
|
Coxsackievirus B3 modulates cardiac ion channels., Steinke K, Sachse F, Ettischer N, Strutz-Seebohm N, Henrion U, Rohrbeck M, Klosowski R, Wolters D, Brunner S, Franz WM, Pott L, Munoz C, Kandolf R, Schulze-Bahr E, Lang F, Klingel K, Seebohm G., FASEB J. October 1, 2013; 27 (10): 4108-21. |
|
The linker pivot in Ci-VSP: the key to unlock catalysis., Hobiger K, Utesch T, Mroginski MA, Seebohm G, Friedrich T., PLoS One. July 1, 2013; 8 (7): e70272. |
|
A plant homolog of animal glutamate receptors is an ion channel gated by multiple hydrophobic amino acids., Tapken D, Anschütz U, Liu LH, Huelsken T, Seebohm G, Becker D, Hollmann M., Sci Signal. June 11, 2013; 6 (279): ra47. |
|
Klotho sensitivity of the hERG channel., Munoz C, Pakladok T, Almilaji A, Elvira B, Seebohm G, Voelkl J, Föller M, Shumilina E, Lang F., FEBS Lett. June 5, 2013; 587 (11): 1663-8. |
|
Rab GTPases are required for early orientation of the left-right axis in Xenopus., Vandenberg LN, Morrie RD, Seebohm G, Lemire JM, Levin M., Mech Dev. January 1, 2013; 130 (4-5): 254-71. |
|
A common structural component for β-subunit mediated modulation of slow inactivation in different KV channels., Strutz-Seebohm N, Henrion U, Schmitt N, Schulze-Bahr E, Seebohm G., Cell Physiol Biochem. January 1, 2013; 31 (6): 968-80. |
|
AMP-activated protein kinase in BK-channel regulation and protection against hearing loss following acoustic overstimulation., Föller M, Jaumann M, Dettling J, Saxena A, Pakladok T, Munoz C, Ruth P, Sopjani M, Seebohm G, Rüttiger L, Knipper M, Lang F., FASEB J. October 1, 2012; 26 (10): 4243-53. |
|
Altered stress stimulation of inward rectifier potassium channels in Andersen-Tawil syndrome., Seebohm G, Strutz-Seebohm N, Ursu ON, Preisig-Müller R, Zuzarte M, Hill EV, Kienitz MC, Bendahhou S, Fauler M, Tapken D, Decher N, Collins A, Jurkat-Rott K, Steinmeyer K, Lehmann-Horn F, Daut J, Tavaré JM, Pott L, Bloch W, Lang F., FASEB J. February 1, 2012; 26 (2): 513-22. |
|
Activation of voltage gated K⁺ channel Kv1.5 by β-catenin., Munoz C, Tóvolli RH, Sopjani M, Alesutan I, Lam RS, Seebohm G, Föller M, Lang F., Biochem Biophys Res Commun. January 13, 2012; 417 (2): 692-6. |
|
Identification of a novel signaling pathway and its relevance for GluA1 recycling., Seebohm G, Neumann S, Theiss C, Novkovic T, Hill EV, Tavaré JM, Lang F, Hollmann M, Manahan-Vaughan D, Strutz-Seebohm N., PLoS One. January 1, 2012; 7 (3): e33889. |
|
Regulation of KCNQ1/KCNE1 by β-catenin., Wilmes J, Haddad-Tóvolli R, Alesutan I, Munoz C, Sopjani M, Pelzl L, Bogatikov E, Fedele G, Faggio C, Seebohm G, Föller M, Lang F., Mol Membr Biol. January 1, 2012; 29 (3-4): 87-94. |
|
Overlapping cardiac phenotype associated with a familial mutation in the voltage sensor of the KCNQ1 channel., Henrion U, Zumhagen S, Steinke K, Strutz-Seebohm N, Stallmeyer B, Lang F, Schulze-Bahr E, Seebohm G., Cell Physiol Biochem. January 1, 2012; 29 (5-6): 809-18. |
|
Stimulation of HERG channel activity by β-catenin., Munoz C, Saxena A, Pakladok T, Bogatikov E, Wilmes J, Seebohm G, Föller M, Lang F., PLoS One. January 1, 2012; 7 (8): e43353. |
|
Up-regulation of amino acid transporter SLC6A19 activity and surface protein abundance by PKB/Akt and PIKfyve., Bogatikov E, Munoz C, Pakladok T, Alesutan I, Shojaiefard M, Seebohm G, Föller M, Palmada M, Böhmer C, Bröer S, Lang F., Cell Physiol Biochem. January 1, 2012; 30 (6): 1538-46. |
|
Inhibition of Kir2.1 (KCNJ2) by the AMP-activated protein kinase., Alesutan I, Munoz C, Sopjani M, Dërmaku-Sopjani M, Michael D, Fraser S, Kemp BE, Seebohm G, Föller M, Lang F., Biochem Biophys Res Commun. May 20, 2011; 408 (4): 505-10. |
|
Inhibition of the heterotetrameric K+ channel KCNQ1/KCNE1 by the AMP-activated protein kinase., Alesutan I, Föller M, Sopjani M, Dërmaku-Sopjani M, Zelenak C, Fröhlich H, Velic A, Fraser S, Kemp BE, Seebohm G, Völkl H, Lang F., Mol Membr Biol. February 1, 2011; 28 (2): 79-89. |
|
Structural basis of slow activation gating in the cardiac I Ks channel complex., Strutz-Seebohm N, Pusch M, Wolf S, Stoll R, Tapken D, Gerwert K, Attali B, Seebohm G., Cell Physiol Biochem. January 1, 2011; 27 (5): 443-52. |
|
Residues at the tip of the pore loop of NR3B-containing NMDA receptors determine Ca2+ permeability and Mg2+ block., Cavara NA, Orth A, Hicking G, Seebohm G, Hollmann M., BMC Neurosci. October 19, 2010; 11 133. |
|
Regulation of the glutamate transporter EAAT4 by PIKfyve., Alesutan IS, Ureche ON, Laufer J, Klaus F, Zürn A, Lindner R, Strutz-Seebohm N, Tavaré JM, Boehmer C, Palmada M, Lang UE, Seebohm G, Lang F., Cell Physiol Biochem. January 1, 2010; 25 (2-3): 187-94. |
|
Modulation of human ether a gogo related channels by CASQ2 contributes to etiology of catecholaminergic polymorphic ventricular tachycardia (CPVT)., Eckey K, Strutz-Seebohm N, Katz G, Fuhrmann G, Henrion U, Pott L, Linke WA, Arad M, Lang F, Seebohm G., Cell Physiol Biochem. January 1, 2010; 26 (4-5): 503-12. |
|
PIKfyve upregulates CFTR activity., Gehring EM, Lam RS, Siraskar G, Koutsouki E, Seebohm G, Ureche ON, Ureche L, Baltaev R, Tavare JM, Lang F., Biochem Biophys Res Commun. December 18, 2009; 390 (3): 952-7. |
|
PIP5K2A-dependent regulation of excitatory amino acid transporter EAAT3., Fedorenko O, Tang C, Sopjani M, Föller M, Gehring EM, Strutz-Seebohm N, Ureche ON, Ivanova S, Semke A, Lang F, Seebohm G, Lang UE., Psychopharmacology (Berl). October 1, 2009; 206 (3): 429-35. |
|
Differential modulation of cardiac potassium channels by Grb adaptor proteins., Ureche ON, Ureche L, Henrion U, Strutz-Seebohm N, Bundis F, Steinmeyer K, Lang F, Seebohm G., Biochem Biophys Res Commun. June 19, 2009; 384 (1): 28-31. |
|
PIKfyve-dependent regulation of the Cl- channel ClC-2., Klaus F, Laufer J, Czarkowski K, Strutz-Seebohm N, Seebohm G, Lang F., Biochem Biophys Res Commun. April 10, 2009; 381 (3): 407-11. |
|
Refinement of the binding site and mode of action of the anticonvulsant Retigabine on KCNQ K+ channels., Lange W, Geissendörfer J, Schenzer A, Grötzinger J, Seebohm G, Friedrich T, Schwake M., Mol Pharmacol. February 1, 2009; 75 (2): 272-80. |
|
Regulation of the Na(+)-coupled glutamate transporter EAAT3 by PIKfyve., Klaus F, Gehring EM, Zürn A, Laufer J, Lindner R, Strutz-Seebohm N, Tavaré JM, Rothstein JD, Boehmer C, Palmada M, Gruner I, Lang UE, Seebohm G, Lang F., Neurochem Int. January 1, 2009; 54 (5-6): 372-7. |
???pagination.result.page??? 1 2 ???pagination.result.next???
