Click here to close Hello! We notice that you are using Internet Explorer, which is not supported by Xenbase and may cause the site to display incorrectly. We suggest using a current version of Chrome, FireFox, or Safari.

Profile Publications (28)
XB-PERS-1785

Publications By Raymond Habas

???pagination.result.count???

???pagination.result.page??? 1


Formin Binding Protein 1 (FNBP1) regulates non-canonical Wnt signaling and vertebrate gastrulation (12 words)., Zeni C, Komiya Y, Habas R., Dev Biol. November 28, 2024; 515 18-29.


Reversion induced LIM domain protein (RIL) is a Daam1-interacting protein and regulator of the actin cytoskeleton during non-canonical Wnt signaling., Mezzacappa C, Komiya Y, Habas R., Dev Biol. November 3, 2024; 515 46-58.


Biochemical Assays to Detect Activation of Small GTPases Rho, Rac, and Cdc42 during Morphogenesis., Berns ML, Habas R., Methods Mol Biol. January 1, 2022; 2438 83-95.


A Nonredundant Role for the TRPM6 Channel in Neural Tube Closure., Komiya Y, Bai Z, Cai N, Lou L, Al-Saadi N, Mezzacappa C, Habas R, Runnels LW., Sci Rep. November 15, 2017; 7 (1): 15623.   


Bimodal regulation of Dishevelled function by Vangl2 during morphogenesis., Seo HS, Habas R, Chang C, Wang J., Hum Mol Genet. June 1, 2017; 26 (11): 2053-2061.


Hepatocystin is Essential for TRPM7 Function During Early Embryogenesis., Overton JD, Komiya Y, Mezzacappa C, Nama K, Cai N, Lou L, Fedeles SV, Habas R, Runnels LW., Sci Rep. December 16, 2015; 5 18395.   


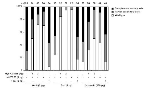
Custos controls β-catenin to regulate head development during vertebrate embryogenesis., Komiya Y, Mandrekar N, Sato A, Dawid IB, Habas R., Proc Natl Acad Sci U S A. September 9, 2014; 111 (36): 13099-104.   


Magnesium and embryonic development., Komiya Y, Su LT, Chen HC, Habas R, Runnels LW., Magnes Res. January 1, 2014; 27 (1): 1-8.


Activation and function of small GTPases Rho, Rac, and Cdc42 during gastrulation., Mezzacappa C, Komiya Y, Habas R., Methods Mol Biol. January 1, 2012; 839 119-31.


Pronephric tubulogenesis requires Daam1-mediated planar cell polarity signaling., Miller RK, Canny SG, Jang CW, Cho K, Ji H, Wagner DS, Jones EA, Habas R, McCrea PD., J Am Soc Nephrol. September 1, 2011; 22 (9): 1654-64.


MIM regulates vertebrate neural tube closure., Liu W, Komiya Y, Mezzacappa C, Khadka DK, Runnels L, Habas R., Development. May 1, 2011; 138 (10): 2035-47.   


TRPM7 regulates gastrulation during vertebrate embryogenesis., Liu W, Su LT, Khadka DK, Mezzacappa C, Komiya Y, Sato A, Habas R, Runnels LW., Dev Biol. February 15, 2011; 350 (2): 348-57.   


Non-redundant roles for Profilin2 and Profilin1 during vertebrate gastrulation., Khadka DK, Liu W, Habas R., Dev Biol. August 15, 2009; 332 (2): 396-406.   


Mechanism of activation of the Formin protein Daam1., Liu W, Sato A, Khadka D, Bharti R, Diaz H, Runnels LW, Habas R., Proc Natl Acad Sci U S A. January 8, 2008; 105 (1): 210-5.   


Retinoic acid-inducible G protein-coupled receptors bind to frizzled receptors and may activate non-canonical Wnt signaling., Harada Y, Yokota C, Habas R, Slusarski DC, He X., Biochem Biophys Res Commun. July 13, 2007; 358 (4): 968-75.   


Cell signaling: moving to a Wnt-Rap., Habas R, He X., Curr Biol. June 19, 2007; 17 (12): R474-7.


Profilin is an effector for Daam1 in non-canonical Wnt signaling and is required for vertebrate gastrulation., Sato A, Khadka DK, Liu W, Bharti R, Runnels LW, Dawid IB, Habas R., Development. November 1, 2006; 133 (21): 4219-31.   


Activation of Rho and Rac by Wnt/frizzled signaling., Habas R, He X., Methods Enzymol. January 1, 2006; 406 500-11.


The Vg1-related protein Gdf3 acts in a Nodal signaling pathway in the pre-gastrulation mouse embryo., Chen C, Ware SM, Sato A, Houston-Hawkins DE, Habas R, Matzuk MM, Shen MM, Brown CW., Development. January 1, 2006; 133 (2): 319-29.   


A dual-kinase mechanism for Wnt co-receptor phosphorylation and activation., Zeng X, Tamai K, Doble B, Li S, Huang H, Habas R, Okamura H, Woodgett J, He X., Nature. December 8, 2005; 438 (7069): 873-7.


Subcellular localization and signaling properties of dishevelled in developing vertebrate embryos., Park TJ, Gray RS, Sato A, Habas R, Wallingford JB., Curr Biol. June 7, 2005; 15 (11): 1039-44.   


Identification and comparative expression analyses of Daam genes in mouse and Xenopus., Nakaya MA, Habas R, Biris K, Dunty WC, Kato Y, He X, Yamaguchi TP., Gene Expr Patterns. November 1, 2004; 5 (1): 97-105.   


MSX1 cooperates with histone H1b for inhibition of transcription and myogenesis., Lee H, Habas R, Abate-Shen C., Science. June 11, 2004; 304 (5677): 1675-8.


Coactivation of Rac and Rho by Wnt/Frizzled signaling is required for vertebrate gastrulation., Habas R, Dawid IB, He X., Genes Dev. January 15, 2003; 17 (2): 295-309.


Conserved requirement of Lim1 function for cell movements during gastrulation., Hukriede NA, Tsang TE, Habas R, Khoo PL, Steiner K, Weeks DL, Tam PP, Dawid IB., Dev Cell. January 1, 2003; 4 (1): 83-94.


The DIX domain targets dishevelled to actin stress fibres and vesicular membranes., Capelluto DG, Kutateladze TG, Habas R, Finkielstein CV, He X, Overduin M., Nature. October 17, 2002; 419 (6908): 726-9.


A component of the ARC/Mediator complex required for TGF beta/Nodal signalling., Kato Y, Habas R, Katsuyama Y, Näär AM, He X., Nature. August 8, 2002; 418 (6898): 641-6.


Wnt/Frizzled activation of Rho regulates vertebrate gastrulation and requires a novel Formin homology protein Daam1., Habas R, Kato Y, He X., Cell. December 28, 2001; 107 (7): 843-54.   

???pagination.result.page??? 1